Mời các em cùng HỌC247 tham khảo Đề thi thử Tốt nghiệp THPT môn Sinh học năm 2023-2024 trường THPT Nguyễn Huệ có đáp án để củng cố các kiến thức và kỹ năng làm bài thông qua nội dung của các câu hỏi trắc nghiệm có đáp án để chuẩn bị thật tốt cho kỳ thi sắp tới.
|
TRƯỜNG THPT NGUYỄN HUỆ |
KÌ THI THỬ TỐT NGHIỆP THPT NĂM 2024 Bài thi: KHOA HỌC TỰ NHIÊN Môn thi thành phần: SINH HỌC Thời gian làm bài: 50 phút, không kể thời gian phát đề |
1. Đề thi
Câu 81: Thực vật lấy CO2 từ môi trường ngoài để thực hiện quá trình quang hợp thông qua tế bào
A. khí khổng. B. lông hút. C. biểu bì. D. mô giậu.
Câu 82: Ở người, bộ phận nào sau đây không có chức năng tiêu hoá hoá học?
A. Miệng. B. Thực quản. C. Dạ dày. D. Ruột non.
Câu 83: Người mắc hội chứng bệnh nào sau đây là thể một?
A. Hội chứng Đao. B. Hội chứng Claiphetơ.
C. Hội chứng Tơcnơ. D. Hội chứng AIDS.
Câu 84: Theo lí thuyết, phép lai nào sau đây cho đời con chỉ có kiểu gen đồng hợp tử trội?
A. AA x Aa. B. AA x AA. C. Aa x Aa. D. Aa x aa.
Câu 85: Một quần thể thực vật giao phấn, xét 1 gen có 2 alen là E và e. Theo lí thuyết, quần thể có cấu trúc di truyền nào sau đây có tần số các kiểu gen không đổi qua các thế hệ?
A. 50%EE: 50%Ee. B. 100%Ee.
C. 25%EE: 50%Ee: 25%ee. D. 50%Ee: 50%ee.
Câu 86: Cặp cơ quan nào dưới đây là cơ quan tương đồng?
A. Cánh dơi và cánh bướm. B. Mang cá và mang tôm.
C. Chân chuột chũi và chân dế chũi. D. Cánh dơi và chi trước của mèo.
Câu 87: Nhóm nào trong các nhóm cá thể dưới đây được xem như một quần thể?
A. Ốc trong hồ. B. Cá Anh vũ sống ở sông Hồng.
C. Các cây ngập mặn ở bãi triều Giao thủy. D. Chuột trong nhà.
Câu 88: Một đoạn gen có trình tự nuclêôtit là
3’...AAXGTTGXGAXTGGT...5’ (mạch bổ sung)
5 ’...TTGXAAXGXTGAXXA...3’ (mạch mã gốc)
Trình tự nuclêôtit trên mARN khi đoạn gen trên phiên mã sẽ là
A. 5’…UUGXAAXGXUGAXXA…3’.
B. 3’…AAXGTTGXGAXTGGT…5’.
C. 5’…AAXGUUGXGAXUGGU…3’.
D. 3’…AAXGUUGXGAXUGGU…5’.
Câu 89: Sự mềm dẻo kiểu hình còn gọi là
A. thường biến. B. biến dị tổ hợp. C. đột biến gen. D. mức phản ứng.
Câu 90: Theo thuyết tiến hóa hiện đại, đơn vị tồn tại nhỏ nhất của sinh vật có khả năng tiến hóa là
A. tế bào. B. cá thể. C. phân tử. D. quần thể.
Câu 91: Phát biểu nào sau đây về dòng năng lượng trong hệ sinh thái là sai?
A. Ở mỗi bậc dinh dưỡng, năng lượng chủ yếu bị mất đi do hoạt động hô hấp của sinh vật.
B. Năng lượng được truyền theo một chiều và được giải phóng vào môi trường dưới dạng nhiệt.
C. Ở bậc dinh dưỡng càng cao thì tổng năng lượng được tích lũy trong sinh vật càng giảm.
D. Trong chu trình dinh dưỡng, năng lượng được truyền từ bậc dinh dưỡng cao đến bậc dinh dưỡng thấp.
Câu 92: Dịch mã là quá trình tổng hợp nên phân tử
A. mARN và prôtêin. B. mARN. C. ADN. D. prôtein.
Câu 93: Theo lí thuyết, phép lai P: AaXbXb×AaXBY tạo ra F1 có bao nhiêu loại kiểu gen?
A. 6. B. 2. C. 8. D. 12.
Câu 94: Quần thể sinh vật không có kiểu phân bố nào sau đây?
A. Phân bố ngẫu nhiên. B. Phân bố đồng đều.
C. Phân bố theo chiều thẳng đứng. D. Phân bố theo nhóm.
Câu 95: Sơ đồ nào sau đây mô tả đúng nội dung giả thuyết siêu trội?
A. aaBB < AABB >Aabb. B. AABB < AaBb > aabb.
C. AABB > AaBb > aabb. D. AABB > AABb > aabb.
Câu 96: Tính đặc trưng của ADN được thể hiện ở tỉ lệ nào sau đây?
A. \(\frac{{A + T}}{{G + X}}\). B. \(\frac{{A + G}}{{T + X}}\). C. \(\frac{{A}}{{T}}\). D. \(\frac{{G}}{{X}}\).
Câu 97: Xét một cơ thể đực có kiểu gen \(\frac{{Ab}}{{aB}}\)Dd giảm phân không xảy ra đột biến nhưng xảy ra hoán vị giữa hai gen A và B với tần số là 20%. Theo lí thuyết, loại giao tử Ab D chiếm tỉ lệ là
A. 5%. B. 10%. C. 20%. D. 40%.
Câu 98: Theo thuyết tiến hóa hiện đại, nhân tố tiến hóa nào không làm thay đổi tần số alen của quần thể?
A. Giao phối không ngẫu nhiên. B. Chọn lọc tự nhiên.
C. Đột biến. D. Các yếu tố ngẫu nhiên.
Câu 99: Ở rừng mưa nhiệt đới điều kiện môi trường thuận lợi cho nhiều loài chim sinh sống, do đó xảy ra cạnh tranh gay gắt. Để đảm bảo các loài cùng tồn tại trong một quần xã, mỗi loài sẽ hình thành một
A. ổ sinh thái hẹp khác nhau. B. nơi ở khác nhau.
C. khu vực sống khác nhau. D. giới hạn sinh thái khác nhau.
Câu 100: Ở một loài sinh vật lưỡng bội (2n = 8), các cặp nhiễm sắc thể tương đồng được kí hiệu là Aa, Bb, Dd và Ee. Do đột biến lệch bội đã làm xuất hiện thể một nhiễm. Bộ nhiễm sắc thể nào sau đây phù hợp với thể đột biến trên?
A. AaBbbDdEe. B. ABbDdEe. C. AaaBbDdEe. D. AaBbDdEe.
Câu 101: Theo lí thuyết, trường hợp nào sau đây, tính trạng do gen quy định chỉ biểu hiện ở giới cái?
A. Ở người, gen nằm trên vùng không tương đồng của NST giới tính Y.
B. Ở thú, gen nằm trong tế bào chất và gen nằm trên NST thường.
C. Ở ruồi giấm, gen nằm trên vùng tương đồng của NST giới tính X và Y.
D. Ở chim, gen nằm trên vùng không tương đồng của NST giới tính Y.
Câu 102: Khi nói về chọn lọc tự nhiên (CLTN), nhận định nào sau đây đúng?
A. CLTN làm tăng vốn gen và đa dạng di truyền cho quần thể.
B. CLTN là nhân tố trực tiếp tạo ra những kiểu gen thích nghi với môi trường.
C. CLTN là nhân tố vô hướng trong quá trình tiến hóa.
D. Ở trạng thái dị hợp thì alen lặn thường không bị CLTN đào thải.
Câu 103: Giữa trưa nắng gắt, ánh sáng dồi dào nhưng cường độ quang hợp ở thực vật giảm vì
A. quá trình hút nước ở rễ mất kiểm soát khi nhiệt độ tăng.
B. các tế bào khí khổng đóng để giảm quá trình thoát hơi nước.
C. trong không khí, hàm lượng CO2 giảm mạnh.
D. lớp cutin ở hai bề mặt lá dày lên làm giảm tốc độ khuếch tán CO2 từ ngoài vào lá cây.
Câu 104: Giai đoạn nào trong hình mô tả sự biến thiên huyết áp ở động mạch chủ?
A. Giai đoạn d. B. Giai đoạn b.
C. Giai đoạn a. D. Giai đoạn c.
Câu 105: Đồ thị dưới đây mô tả biến động số lượng cá thể của hai loài trong một quần xã. Hai loài A và B có mối quan hệ
A. Hợp tác. B. Kí sinh vật chủ.
C. Cộng sinh. D. Ức chế cảm nhiễm.
---(Để xem tiếp nội dung câu hỏi 110-115 của đề thi các em vui lòng Xem Online hoặc đăng nhập vào HỌC247 để tải về máy)---
Câu 111: Một gen có 3600 liên kết hidro, số Nu loại A chiếm 30% tổng số Nu của gen.Mạch 1 của phân tử ADN có tỉ lệ các loại Nu A:T:G:X = 3:2:1:4. Số lượng Nuclêotit loại Xitozin ở mạch 1 của ADN là
A. 450. B. 300. C. 600. D. 150.
Câu 112: Trong trường hợp giảm phân và thụ tinh bình thường, không xảy ra hoán vị gen, một gen quy định một tính trạng và gen trội là trội hoàn toàn. Cho phép lai P: \(\frac{{Ab}}{{aB}}DdEe \times \frac{{Ab}}{{aB}}DdEe\) lí thuyết ở đời con (F1), tỉ lệ cá thể có kiểu gen gồm 4 alen trội là
A. 7/32. B. 1/8. C. 1/64 D. 3/16.
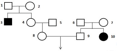
Câu 113: Tay-sachs là một bệnh di truyền đơn gen ở người do alen lặn gây nên; người có kiểu gen đồng hợp tử và alen lặn gây bệnh thường chết trước tuổi trưởng thành. Bệnh Tay-sachs được mô tả như phả hệ sau đây, biết rằng bố đẻ của người phụ nữ số 8 đến từ một quần thể không có alen gây bệnh; không có đột biến mới phát sinh trong những gia đình này.
Theo lý thuyết, xác suất mỗi người con do cặp vợ, chồng số 8 và 9 sinh ra mắc bệnh Tay-sach là
A. 1/4. B. 1/18. C. 1/9. D. 1/16.
Câu 114: Hình 1 thể hiện một phần lưới thức ăn trên cánh đồng trồng cỏ chăn nuôi và mía ở đảo Hawaii. Hình 2 thể hiện sự thay đổi số lượng, sinh khối của một số loài trong quần xã trước và sau khi một loài vi khuẩn chỉ gây bệnh trên cóc (Bufo marinus) xuất hiện làm số lượng cóc giảm mạnh.
Nghiên cứu hình vẽ và kiến thức về trao đổi vật chất trong hệ sinh thái, có bao nhiêu phát biểu sau đây đúng?
I. Chim sáo là sinh vật tiêu thụ bậc I và II.
II. Có 4 chuỗi thức ăn trong lưới thức ăn trên.
III. Năng suất của mía và cỏ chăn nuôi sẽ giảm mạnh khi toàn bộ cóc bị chết do vi khuẩn.
IV. Trong quần xã trên, Cóc là loài ưu thế.
A. 1. B. 2. C. 3. D. 4.
Câu 115: Khi lai 2 thứ thực vật thuần chủng người ta thu được kết quả như sau:
- Phép lai 1: P. (♀) thân đứng x (♂) thân bò
F1, F2 đều hữu thụ
- Phép lai 2: ` P. (♀) thân bò x (♂) thân đứng
F1 đều hữu thụ
F2: 75% hữu thụ, 25% bất thụ (các túi phấn không nở hoa)
Theo lý thuyết, kiểu gen quyết định tính bất thụ đực có đặc điểm nào sau đây đúng?
A. Là kiểu gen dị hợp trong đó alen lặn có nguồn gốc từ tế bào chất của thứ thân đứng.
B. Là kiểu gen đồng hợp lặn trong đó các alen có nguồn gốc từ tế bào chất của thứ thân bò.
C. Là kiểu gen đồng hợp trội trong đó các alen có nguồn gốc từ tế bào chất của thứ thân đứng.
D. Là kiểu gen dị hợp trong đó alen lặn có nguồn gốc từ tế bào chất của thứ thân bò.
Câu 116: Một tế bào sinh tinh của một loài xét 3 cặp NST tương đồng. Cặp I mang một cặp gen Aa, Cặp II mang một cặp gen Bb. Cặp III mang hai cặp gen dị hợp kí hiệu: \(\frac{{DE}}{{de}}\). Cho biết trong quá trình giảm phân không xảy ra đột biến. Các loại giao tử tối đa có thể được tạo ra sau quá trình giảm phân là
A. ABDE và abde. B. AbDe, AbDe, aBdE,aBdE.
C. ABDE, ABDe, abdE, abde. D. AbDE và aBde.
Câu 117: Người ta chuyển 1 số vi khuẩn E.coli mang các phân tử ADN vùng nhân chỉ chứa 14N sang môi trường nuôi cấy chỉ có 15N. Các vi khuẩn nói trên đều thực hiện tái bản 5 lần liên tiếp tạo được 960 mạch polinucleotit chỉ chứa 15N. Sau đó chuyển các vi khuẩn này vào môi trường nuôi cấy chỉ chứa 14N và cho chúng tái bản tiếp 2 lần nữa. Có bao nhiêu phát biểu sau đây đúng?
I. Số phân tử ADN ban đầu là 16.
II. Số mạch polinucleotit chỉ chứa 14N sau khi kết thúc quá trình tái bản trên là 2880.
III. Số phân tử ADN chỉ chứa 14N sau khi kết thúc quá trình tái bản trên là 1056.
IV. Số phân tử ADN chứa cả 2 loại 14N và 15N sau khi kết thúc quá trình tái bản trên là 992.
A. 1. B. 2. C. 3. D. 4.
Câu 118: Ở một loài thú cho cặp bố mẹ thuần chủng: con cái mắt trắng lai với con đực mắt trắng thu được F1: 100% cái mắt đỏ; 100% đực mắt trắng. Cho F1 tạp giao thu được F2 có tỷ lệ 9 mắt đỏ: 16 mắt trắng, trong đó tỉ lệ cái mắt đỏ: đực mắt đỏ = 25:2 (đỏ và trắng xuất hiện ở cả hai giới). Biết rằng do yếu tố ngẫu nhiên tác động đến F2 làm cho một nửa số cá thể ở 1 trong 2 giới nào đó đã bị chết ở giai đoạn phôi và các cá thể chết có cùng kiểu hình. Biện luận và viết sơ đồ lai từ P đến F2?
I. Các cá thể bị chết ở F2 thuộc giới đực.
II. Các gen quy định màu mắt xảy ra hiện tượng hoán vị gen với tần số 16%.
III. Ở F1 con cái mắt đỏ có kiểu gen là XAbXaB.
IV. Con mắt đỏ ở giới đực chiếm tỉ lệ 2%.
A. 1. B. 2. C. 3. D. 4.
Câu 119: Một loài thực vật, alen A quy định hoa đỏ trội hoàn toàn so với alen a quy định hoa trắng. Thực hiện phép lai giữa các cây hoa đỏ với các cây hoa trắng (P) thu được F1, trong đó cây hoa trắng chiếm tỉ lệ 10%. Cho các cây F1 tự thụ phấn thu được F2. Theo lí thuyết, có bao nhiêu phát biểu sau đây đúng?
I. Tỉ lệ kiểu gen ở F2 là 0,36AA : 0,48Aa : 0,16aa.
II. Kiểu hình cây hoa trắng F2 chiếm tỉ lệ là 0,325.
III. Các cây hoa đỏ ở P đều có kiểu gen đồng hợp tử AA.
IV. Tỉ lệ cây hoa đỏ có kiểu gen dị hợp ở P là 0,2.
A. 1. B. 2. C. 3. D. 4.
Câu 120: Hình vẽ sau đây mô tả mối quan hệ về sinh khối và mức độ cạnh tranh của bốn loài khác nhau trong một quần xã sinh vật:
Quan sát hình vẽ và kiến thức về mối quan hệ giữa các loài trong quần xã, có bao nhiêu phát biểu sau đây đúng?
I. A là loài động vật ăn thịt, hung dữ.
II. B là loài ưu thế của quần xã.
III. C là loài luôn cạnh tranh và có thể thay thế loài A ở những giai đoạn tiếp theo của diễn thế sinh thái.
IV. D là loài tác động yếu và không thường xuyên tới các nhân tố sinh thái của hệ sinh thái.
A. 1. B. 2. C. 3. D. 4.
2. Đáp án
|
CÂU |
81 |
82 |
83 |
84 |
85 |
86 |
87 |
88 |
89 |
90 |
|
Đ/A |
A |
B |
C |
B |
C |
D |
B |
D |
A |
D |
|
CÂU |
91 |
92 |
93 |
94 |
95 |
96 |
97 |
98 |
99 |
100 |
|
Đ/A |
D |
D |
A |
C |
B |
A |
C |
A |
A |
B |
|
CÂU |
101 |
102 |
103 |
104 |
105 |
106 |
107 |
108 |
109 |
110 |
|
Đ/A |
D |
D |
B |
C |
B |
D |
A |
A |
D |
B |
|
CÂU |
111 |
112 |
113 |
114 |
115 |
116 |
117 |
118 |
119 |
120 |
|
Đ/A |
C |
A |
B |
D |
B |
C |
C |
C |
B |
C |
Trên đây là một phần nội dung tài liệu Đề thi thử Tốt nghiệp THPT môn Sinh học năm 2023-2024 trường THPT Nguyễn Huệ có đáp án. Để xem thêm nhiều tài liệu tham khảo hữu ích khác các em chọn chức năng xem online hoặc đăng nhập vào trang hoc247.net để tải tài liệu về máy tính.
Mời các em tham khảo các tài liệu có liên quan:
Ngoài ra, các em có thể thực hiện làm đề thi trắc nghiệm online tại đây:
Hy vọng tài liệu này sẽ giúp các em học sinh ôn tập tốt và đạt thành tích cao trong học tập.



