Bài 6.2 trang 32 sách bài tập toán 8 tập 1
Bài 6.2 - Bài tập bổ sung (Sách bài tập - trang 32)
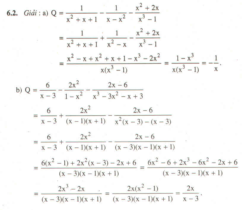
Trong mỗi trường hợp sau hãy tìm phân thức Q thỏa mãn điều kiện :
a) \(\dfrac{1}{x^2+x+1}-Q=\dfrac{1}{x-x^2}+\dfrac{x^2+2x}{x^3-1}\)
b) \(\dfrac{2x-6}{x^3-3x^2-x+3}+Q=\dfrac{6}{x-3}-\dfrac{2x^2}{1-x^2}\)
Trả lời (1)
-
bởi Nguyễn La Ngọc Trân
15/10/2018
Like (0) Báo cáo sai phạm
Nếu bạn hỏi, bạn chỉ thu về một câu trả lời.
Nhưng khi bạn suy nghĩ trả lời, bạn sẽ thu về gấp bội!
Lưu ý: Các trường hợp cố tình spam câu trả lời hoặc bị báo xấu trên 5 lần sẽ bị khóa tài khoản
Các câu hỏi mới
-
phân tích đa thức thành nhân tử:
27+27x+9x^2+x^3
x^2-5x-y^2+5y
4x^2-12x+9-y^229/11/2022 | 0 Trả lời
-
cho tam giác ABC cân tại A, đường cao AD. O là trung điểm AC. E đối xứng với B qua O
a) chứng minh: AECD là hình chữ nhật
b) gọi I là trung điểm AD. chứng minh I là trung điểm BE
c) cho AB=10cm, BC=12cm. Tính diện tích tam giác OAD
d) đường thẳng OI cách AB tại K. tìm điều kiện của tam giác ABC để tứ giác AEDK là hình thang cân30/11/2022 | 0 Trả lời
-
Tìm GTLN:
1) A= -x^2+4x+4
2) B= -x^2+6x-1
3) C= -2x^2+4x-5
4) D= -2x^2+8x-2
5) E= -3x^2+6x-2
6) F= -3x^2+2x-1
30/11/2022 | 0 Trả lời
-
cho tứ giác abcd có e,f,g,h là trung điểm ab,ac,cd,ad. tìm điều kiện của tứ giác abcd để efgh là a,hinh chữ nhật b, hình thoi c, hình vuông. vẽ hình viết giả thiết, kết luận trước mới giải
02/12/2022 | 0 Trả lời
-
(3x-1)-2x(4x-3)=5
07/12/2022 | 0 Trả lời
-
tìm x : (x – 5)^2 = 4x^2
b) 7x^2 – 16x = 2x^3 – 56
c) – 4x^2 + 28x = 0
d) x(x + 6) -7x -42 = 0
e) (x - 4)^2 – 36 = 0
f) 3x^2 + 5y – 3xy – 5x
08/12/2022 | 0 Trả lời
-
\({\left( {x + 5} \right)^2} + {\left( {x - 2} \right)^2} = 2\left( {x + 1} \right)\left( {x - 1} \right)\)
09/12/2022 | 0 Trả lời
-
cho tam giác ABC cân tại A đường cao AH gọi M là trung điểm AC,E đối xứng với H qua M.
a)chứng minh AECH là hình chữ nhật
b)ABHE là hình gì? Vì sao?
c)tính AECHbiết BC=12cm,AH=8cm
d)tam giác ABC cần thêm điều kiện gì để tứ giác ABHE là hình vuông
13/12/2022 | 0 Trả lời
-
5x(3x-2)
13/12/2022 | 2 Trả lời
-
Cho Tam giác ABC cân tại A, gọi D,E,F lần lượt là t/đ của AB,AC,BC
a.C/m t/g DECF là hbh
b.Gọi K là điểm đối xứng của F qua E. C/m t/g AKCF là hcn
c. Gọi H là điểm đối xứng của A qua K. Vẽ AI vuông góc với CH tại I. Tính số đo KIF
16/12/2022 | 0 Trả lời
-
(x-3)^2-(x-1)(x+1)=10
16/12/2022 | 1 Trả lời
-
x2 - 4 = 3(x-2)2
tìm x
16/12/2022 | 1 Trả lời
-
Bài 1: Thực hiện phép tính:
a, (3x+4x2-2)(-x2+1)
b,(x+2)(x-1)-x(x+3)
c,(x+3)(x2+3x-5)
d,(2x-1)(3x+2)(3-x)
17/12/2022 | 1 Trả lời
-
a) Tìm giá trị nhỏ nhất của biểu thức : P= x4 + x2 - 6x+9
b) chứng minh rằng n2+11n+39 không chia hết cho 49 với mọi số tự nhiên n
18/12/2022 | 0 Trả lời
-
Cho ABC, trung tuyến AM. Gọi I là trung điểm của AC. Gọi K là điểm đối xứng với M qua I
. a.Chứng minh : Tứ giác ABMK là hình bình hành.
b.Tìm điều kiện của tam giác ABC để AMCK là hình thoi.
20/12/2022 | 0 Trả lời
-
Cho tam giác ABC vuông tại A, đường trung tuyến AM. Gọi O là trung điểm của AC, N là điểm đối xứng với M qua O
a) Chứng minh tứ giác AMCN là hình thoi
b)Cho AB= 14cm, AC= 8cm, Tính diện tích tâm giác COM
c) Tam giác ABC caand điều kiện gì thì tứ giác AMCN là hình vuông?20/12/2022 | 0 Trả lời
-
Cho hình bình hành ABCD có AB=2BC.Gọi M và N lần lượt theo thứ tự là trung điểm của AB và CD
a/ Chứng minh tứ giác ABCD là hình bình hành
b/ tứ giác AMND là hình gì
c/ gọi I là giao điểm của AN và DM, K là giao điểm của BN và CM. Chứng minh tứ giác MKNI là hình chữ nhật
d/hình bình hành ABCD có thêm điều kiện gì để tứ giác MKNI là hình vuông
28/12/2022 | 0 Trả lời
-
Tính GTNN của: (x2+2x+3)/(x2+2x+7)
28/12/2022 | 0 Trả lời
-
tìm x, biết rằng:(x+2) ^2-(x-2)(x+2) =0
31/12/2022 | 2 Trả lời
-
x³ – 2x²y + xy² – x
01/01/2023 | 0 Trả lời
-
Bài 4: Cho hình thoi ABCD, O là giao điểm hai đường chéo. Vẽ đường thẳng qua B và song song với AC, vẽ đường thẳng qua C và song song với BD, hai đường thẳng đó cắt nhau tại K.
a) Tứ giác OBKC là hình gì? Vì sao?
b) Chứng minh: AB = OK.
c) Tìm điều kiện của tứ giác ABCD để tứ giác OBKC là hình vuông.
hép miii
03/01/2023 | 0 Trả lời
-
Toán 7 oki nhé giúp zới help
03/01/2023 | 0 Trả lời
-
Kết quả phân tích đa thức -x2 + 4x - 4 là
04/01/2023 | 1 Trả lời
-
cho hình bình hành ABCD, trên CDvà BClấy M,N sao cho BM=DN. gọi I là giao điểm của BM và DN.
a. chứng minh SABM=SABN.
b. Chứng minh: IA là phân giác góc DIB
15/01/2023 | 0 Trả lời
-
cho tam giác ABC vuông tại A ( AB<AC), đường cao AH,HD vuông góc với AB tại D, HE vuông góc với AC tại E. I,K lần lượt là điểm đối xứng với B, H qua D . chứng minh AK vuông góc với IH
20/01/2023 | 0 Trả lời



